Hàng triệu người trên thế giới đang sống với bệnh đái tháo đường typ 1 phải chịu ám ảnh đau đớn hàng ngày do một đến hai mũi tiêm gây ra để cung cấp insulin cho cơ thể. Vì vậy việc phát triển dạng thuốc insulin dùng đường uống là vô cùng cấp bách. Không chỉ cung cấp insulin để cải thiện chất lượng cuộc sống cho khoảng 40 triệu người mắc bệnh tiểu đường typ 1 trên toàn thế giới, thuốc uống chứa insulin còn giúp bệnh nhân tuân thủ tốt hơn và giảm thiểu nhiều tác dụng phụ do bệnh nhân tự chích insulin không thành công. Ngoài ra, dược động học của thuốc insulin dạng uống giống với sinh lý của insulin do tuyến tụy tiết ra hơn so với dạng thuốc tiêm. Insulin dạng uống hoặc insulin do tuyến tụy tạo ra được vận chuyển đến gan thông qua tĩnh mạch cửa và được lưu giữ tại đây 80%, chỉ 20% insulin lưu thông trong vòng tuần hoàn, trái với nồng độ insulin cao trong máu khi sử dụng dạng thuốc tiêm. Do đó dùng insulin dạng uống còn có thể làm giảm tác dụng phụ của việc sử dụng thuốc tiêm trong một thời gian dài.
Tuy nhiên khó khăn khi bào chế insulin dưới dạng thuốc đường uống là phải vượt qua những rào cản của đường tiêu hóa như môi trường acid ở dạ dày, sự phân hủy của các enzyme ở ruột và sự khó hấp thu qua màng ruột đối với một đại phân tử như insulin. Nhiều thập kỷ qua, các nhà nghiên cứu khác cũng đã thử những phương pháp để vượt qua những rào cản này như bào chế insulin ở dạng nano như liposome, nano polyme hay nano lipid rắn, bao insulin bằng màng bao tan ở ruột, thêm các tá dược khác (natri glycolat, aprotinin, bacitracin) để ức chế sự phân hủy của các enzyme, biến đổi phân tử insulin (gắn với transferrin hay TAT peptid) hay thêm các chất tăng hấp thu (muối mật, chất diện hoạt, acid béo, polyme) để tăng cường sự hấp thu insulin tại ruột. Nhiều phương pháp đòi hỏi quy trình bào chế nhiều công đoạn, công thức bào chế nhiều thành phần hay phải biến đổi hóa học phân tử insulin. Vì vậy hiện vẫn chưa có chế phẩm insulin đường uống nào trên thị trường.
Hiện nay, các nhà nghiên cứu tại Trường Kỹ thuật và Khoa học ứng dụng Harvard John A. Paulson (SEAS) đã phát triển một dạng thuốc đường uống giúp bệnh nhân tiểu đường kiểm soát lượng đường trong máu. Các nghiên cứu trên tế bào và trên chuột cho thấy thuốc an toàn, hiệu quả và ổn định, đồng thời dễ mở rộng sản xuất trên quy mô lớn với chi phí sản xuất thấp.
Insulin có bản chất là protein, khi vào cơ thể qua đường tiêu hóa sẽ bị acid dạ dày và các enzyme ở ruột phân hủy thành các acid amin. Vì vậy, insulin đã được nhóm nghiên cứu kết hợp với một chất lỏng ion với thành phần chính là cholin và acid geranic (CAGE) đóng vai trò là chất vận chuyển insulin. CAGE được tạo ra bằng cách cho acid geranic phối hợp với cholin carbonat, khuấy ở 40oC và loại nước bằng cô quay ở 60oC, sau đó phân tán insulin dạng bột vào một thể tích xác định CAGE và khuấy đều tạo phức hợp insulin-CAGE. Thuốc sau đó được đóng nang và bao tan trong ruột (sử dụng nguyên liệu bao là Eudragit L-100) giúp chống lại sự phân hủy của acid dạ dày. Khi đến môi trường kiềm trong ruột non, màng bao này sẽ hòa tan và giải phóng phức hợp insulin-CAGE bền vững dưới tác dụng của các enzyme ở ruột. Ngoài ra, cholin và acid geranic trong công thức thuốc còn giúp cho một phân tử có kích thước lớn như insulin có thể đi qua được lớp màng nhầy và các tế bào liên kết chặt chẽ ở thành ruột để được hấp thu.
![]() |
Hình 1: Hình minh họa nang thuốc chứa Insulin-CAGE
![]() |
Hình 2: CAGE làm tăng sự ổn định của insulin dưới tác dụng của enzyme trypsin (*: p
![]() |
Hình 3: CAGE làm giảm độ nhớt của chất nhầy mô phỏng chất nhầy ở ruột
![]() |
Hình 4: CAGE làm tăng sự hấp thu insulin qua màng tế bào biểu mô ruột Caco-2
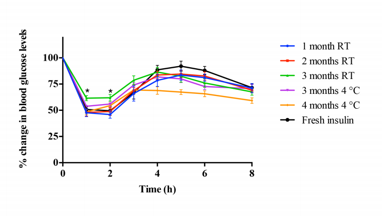
Công thức bào chế này có tính tương thích sinh học cao và có thể bảo quản đến hai tháng ở nhiệt độ phòng, lâu hơn một số sản phẩm insulin tiêm hiện có trên thị trường và có thể bảo quản ở tủ lạnh (nhiệt độ 4oC) ít nhất 4 tháng.
![]() |
Hình 5: Hiệu quả giảm đường huyết ở chuột của insulin trong insulin-CAGE không đổi sau khi bảo quản 1-2 tháng ở nhiệt độ phòng và 3-4 tháng ở 4oC
Nghiên cứu này cũng cho kết quả đáng ghi nhận khi dạng thuốc uống chứa insulin – CAGE có tác dụng như thuốc tiêm thông thường. Ngoài ra, thuốc insulin đường uống của nhóm nghiên cứu có thể được bào chế với quy trình đơn giản chỉ một công đoạn nên dễ dàng mở rộng trên quy mô sản xuất công nghiệp với chi phí sản xuất thấp.
![]() |
Hình 6: Hiệu quả giảm đường huyết đáng kể của Insulin-CAGE trong viên nang so với insulin tiêm dưới da ở chuột
Thuốc uống chứa insulin này dự kiến sẽ được nghiên cứu nhiều hơn trên động vật về sinh khả dụng cũng như độc tính trường diễn và hy vọng sẽ tiến tới thử nghiệm ở người. Các nhà nghiên cứu khá lạc quan vì chất lỏng ion kết hợp với insulin có thành phần chính là cholin và acid geranic được coi là an toàn. Cục Quản lý thực phẩm và dược phẩm Mỹ đã thiết lập liều khuyến cáo hàng ngày của cholin, một chất dinh dưỡng thiết yếu giống như vitamin; và acid geranic là một hợp chất tự nhiên xuất hiện trong bạch đậu khấu và sả, được sử dụng rộng rãi như một chất phụ gia thực phẩm. Phòng phát triển công nghệ của Havard đang tìm kiếm các cơ hội để thúc đẩy phát triển và thương mại hóa công nghệ này. Phương pháp này cũng mở ra triển vọng áp dụng để bào chế các dạng thuốc uống chứa dược chất có bản chất protein hay peptid như insulin thay vì phải sử dụng dạng thuốc tiêm.
Tổng hợp
Lê Thị Thanh Ngọc
Tài liệu tham khảo:
1. Amrita Banerjee, Kelly Ibsen, Tyler Brown, Renwei Chen, Christian Agatemor, Samir Mitragotri, (2018), “Ionic liquids for oral insulin delivery”, Proceedings of the National Academy of Sciences, 201722338, DOI: 10.1073/pnas.1722338115.
2. Harvard John A. Paulson School of Engineering and Applied Sciences, “Delivering insulin in a pill: Technique could replace daily injections for diabetics”, Science Daily, 25 June 2018, https://www.sciencedaily.com/releases/2018/06/180625192838.htm>.
- Ức chế PCSK9 trong dự phòng tim mạch nguyên phát – Bằng chứng mới từ thử nghiệm VESALIUS-CV
- Lynkuet – thuốc mới điều trị chứng bốc hỏa do mãn kinh
- Thử nghiệm phi động vật – Kỷ nguyên mới cho nghiên cứu phát triển thuốc
- Qfitlia – phương pháp điều trị mới cho Hemophilia A hoặc B
- Mô hình “Netflix plus”: Giải pháp tài chính đột phá cải thiện tiếp cận thuốc tại các nước thu nhập thấp và trung bình
- Tỷ lệ Cholesterol “Xấu” (Non-HDL) trên Cholesterol “Tốt” (HDL) Cao Liên Quan Đến Nguy Cơ Tăng Huyết Áp và Bệnh Tim Mạch
- 6 loại thảo dược có khả năng gây tổn thương gan
- Tirzepatide giúp cải thiện tình trạng suy tim phân suất tống máu bảo tồn trên bệnh nhân béo phì
- FDA chấp thuận Ebglyss (Lebrikizumab) điều trị viêm da dị ứng
- Bệnh Alzheimer: Các loại thuốc mới được chấp thuận trên lâm sàng có tạo ra sự khác biệt thực sự không?
- FDA chấp thuận vắc-xin cúm dạng xịt mũi đầu tiên sử dụng tại nhà
- Tổn thương gan do thuốc
- Bốn hợp chất phenolic mới từ quả của loài Alpinia galanga
- Tác dụng kháng virus của gamma-mangostin
- Chế độ ăn Keto có thể đẩy nhanh quá trình lão hóa cơ quan
- Một số điểm mới trong quy định giá dịch vụ khám, chữa bệnh bảo hiểm y tế giữa các bệnh viện cùng hạng trên toàn quốc từ 17/11/2023






